
2020级艺术设计学专业的学子,自2020年初秋汇聚于此,他们用四年的时光勤学积累、丰富自我。随着2024年盛夏的临近,他们即将开启新的旅程。在这个重要的时刻,“2024第一回——广州新华学院9428cn太阳集团古天乐2020级艺术设计学专业书法方向毕业展”将于2024年6月13日在广州市天河区文化活动中心如期举行。同学们将以作品展示本科阶段的学习成果,将所学转化为生动的艺术表达,向社会展现他们的成长与蜕变。
诸君四载寒窗,博学审问,慎思明辨,笃行不倦。毕业之际,愿诸君以所学之识,所练之能,所修之德,连接古今,贯通中西,以无限潜力,无畏勇气,迎接未来挑战。愿诸君以青春之名,书写人生华章,创造属于自己的辉煌。
2024年6月4日

学生作品展示

叶世藻 《史记.夏本纪》节选 131cm×65cm

黄译瑶 《徐文长传》节选 96cm×180cm

陈勇军 《书法雅言老少》 32cm×180cm×3

陈冠光 宋词选抄 33.2cm×24.2cm×8

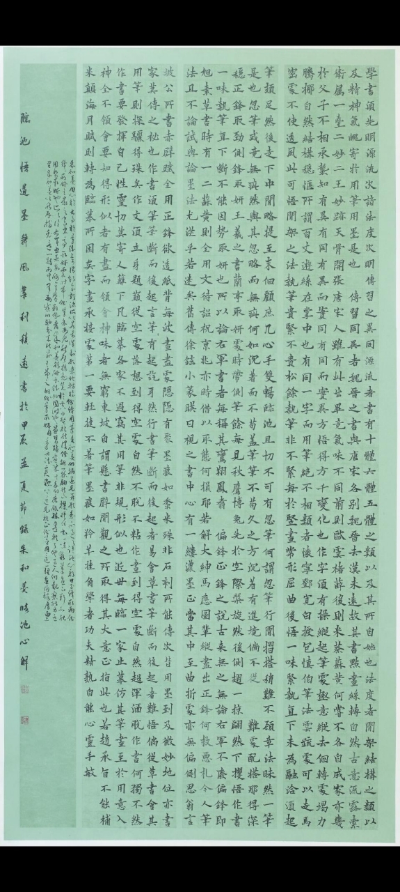
利积远 节录《朱和羹临池心解》 247cm1×24cm


利积远 《把酒问月·故人贾淳令予问之》 240cm×186cm
责编|张艺冰
审校|辜雅姿
初审|李庙华
复审|冯晶晶
终审|李海峰