
2020级艺术设计学专业的学子,自2020年初秋汇聚于此,他们用四年的时光勤学积累、丰富自我。随着2024年盛夏的临近,他们即将开启新的旅程。在这个重要的时刻,“2024第一回——广州新华学院9428cn太阳集团古天乐2020级艺术设计学专业书法方向毕业展”于2024年6月13日在广州市天河区文化活动中心如期举行。同学们将以作品展示本科阶段的学习成果,将所学转化为生动的艺术表达,向社会展现他们的成长与蜕变。
诸君四载寒窗,博学审问,慎思明辨,笃行不倦。毕业之际,愿诸君以所学之识,所练之能,所修之德,连接古今,贯通中西,以无限潜力,无畏勇气,迎接未来挑战。愿诸君以青春之名,书写人生华章,创造属于自己的辉煌。
2024年6月9日
本届2020级一共有27名毕业生,其书法作品推文分为2期文章推送,都以姓名开头字母的顺序排列。

陈勇军
【作品】《览秀亭诗》、《岳阳楼记》、《书法雅言老少》
【创作感想】
《书法雅言老少》经过定稿,调整,反复打磨而成。用自己最为钟爱的北魏墓志风格进行创作,因为魏碑属过渡性书体,上接汉晋,下启隋唐,风格纵横奇宕,朴茂天成,富有勃勃生机和天真烂漫之气,对于创作有更多想象和发挥的空间。加之我学书数载,初入颜鲁公,后择北魏墓志,创作起来更为从容。风格以《元倪墓志》《司马显姿墓志》为主要创作基调,辅以《元桢墓志》增加作品的丰富性。而另一幅作品《览秀亭诗》是写的王铎运用了他的笔法墨法以及章法进行创作,一气呵成、浑然天成的感觉,由于自己多年的学习领悟才将这幅作品尽可能完美的展现到各位观众眼前;此外我要感谢汪老师以及赵老师对我多年以来的鼓励与支持,再次感谢各位老师的悉心教诲,让我在学习书法的道路上少走弯路!

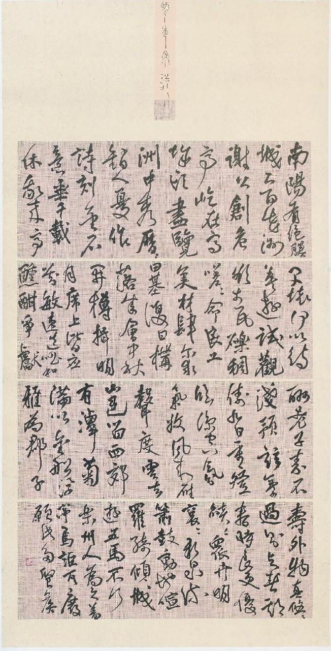
陈勇军《览秀亭诗》 124cm×248cm


陈勇军 《岳阳楼记》 33cm×25cm 24页

陈勇军 《书法雅言老少》 32cm×180cm×3

陈冠光
【作品】《少年行二首》、《宋词选抄》
【创作感想】
我的毕业创作选择以何绍基行书和章草为主进行书写创作,参考何氏古拙的笔意,加以年轻人的书写感受,章草则拟王蘧常风格创作,辅以小楷注释,大学四年的学习积累,在毕创这一刻得到展现了,反反复复的试错书写,力求作品更加完美,史上有名的书家无一不是要经过努力,努力,再努力,在此感谢我的指导老师们,对我创作上的指导。

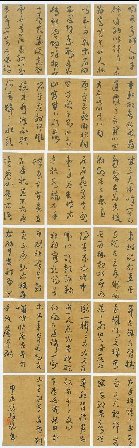
陈冠光 《少年行二首》 234cm×53cm×29

陈冠光 宋词选抄 33.2cm×24.2cm×8

陈烨杭
【名称】《书谱选抄》
【创作感想】
在本科毕业展的准备过程中,我深受雷坚老师的启发,他引导我深入探索八大书帖的精髓,让我在书法艺术的道路上迈出了坚实的步伐。
在此,我要特别感谢雷坚老师和吴慧平老师,他们的精心指导和无私帮助,对我完成这件作品起到了至关重要的作用。他们的专业知识和艺术见解,不仅提升了我的技艺,更拓宽了我的视野,让我对书法艺术有了更深层次的认识和理解

陈烨杭 《书谱选抄》 31cm×142cm

冯梓聪
【名称】《核舟记》节选
【创作感想】
本创作以于右任风格为基础,内容节选自《核舟记》,目的是探讨心绪状态对书写的影响,结果可见,豁达的心态,能给予作品一定的随性空间,亦能对自我有所提升。非常感激汪老师与李老师在我创作练习期间指导我,除了水平有所提升,更让我寻到那一刻的书写状态,实在是感激不尽!

冯梓聪 《核舟记》节选 24.5cm×15cm×18

黄译瑶
【名称】《徐文长传》
【创作感想】
在挥毫泼墨之际,我选取了欧阳通的书法,将《徐文长传》化为笔下的风云。欧阳通之书法,平正峭劲,在墨香之中,我感受到了徐文长笔下的灵魂与情感。书法之美,不仅在于形,更在于神。在此感谢毕业创作中赵浩民老师、沈洁老师、汪兰婷老师的精心指导。

黄译瑶 《徐文长传》节选 96cm×180cm

利积远
【作品】节录《朱和羹临池心解》、《把酒问月·故人贾淳令予问之》
【创作感想】
此次毕业作品,我分别以草书和楷书的形式呈现。草书通过拟唐草书,致力于了解唐法度对后世影响。选用了李白一诗作为创作素材,在狂放的笔触中捕捉诗人那股不羁的豪情。在创作过程中,深入研究了唐代草书的精髓,尤其是张旭、怀素的笔法,力求在质研中融入古朴的风骨。在书写时追求笔势的连贯与变化,注重“势”的表现。楷书作品节录《临池心解》,我师法欧阳通。在临摹与创作中努力模仿其细腻的笔触与严谨的结构。创作时,注重每一个字的形态美与内在韵律,力求在规整中展现生动,在稳重中体现灵动。

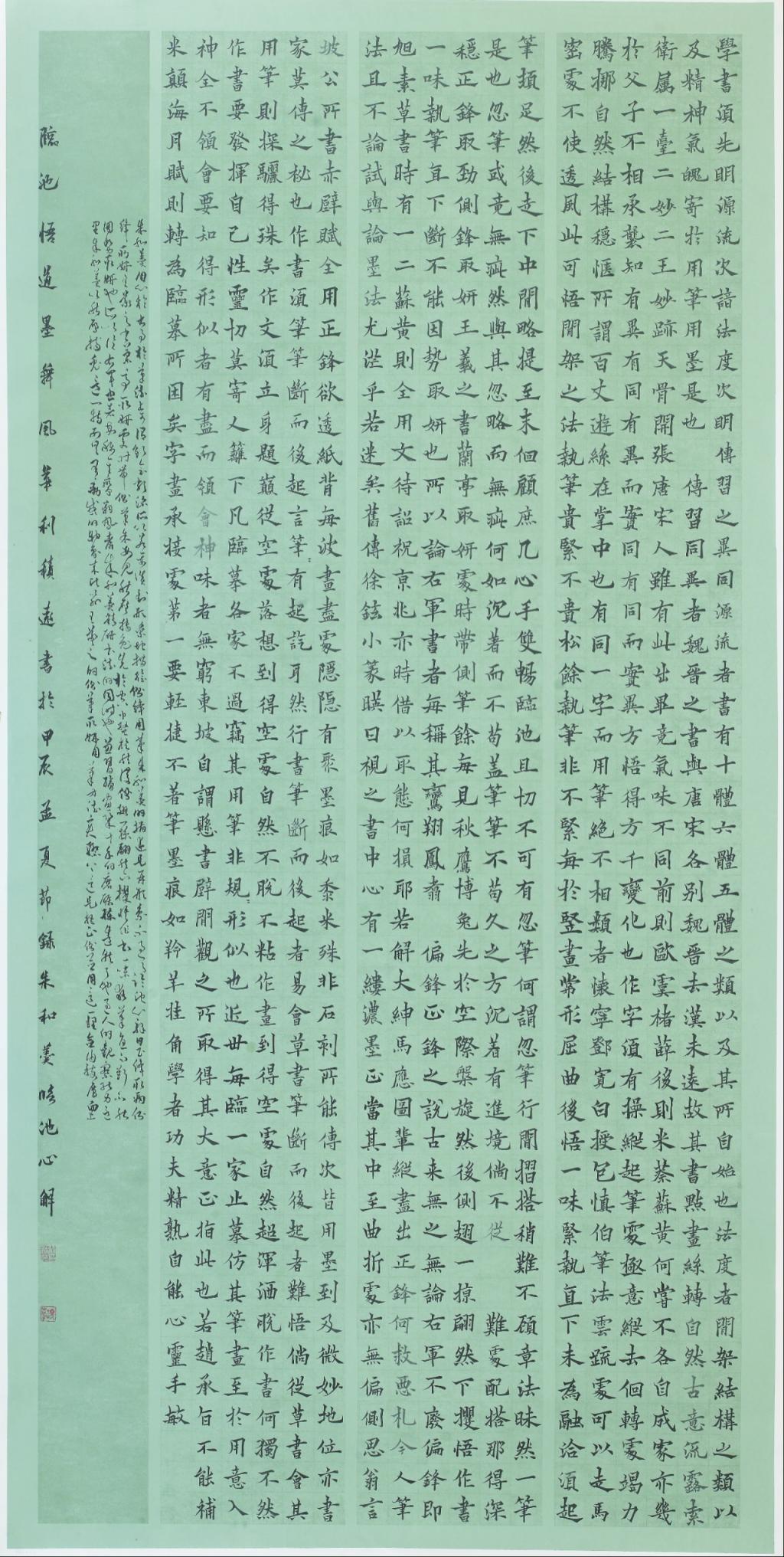
利积远 节录《朱和羹临池心解》 247cm1×24cm


利积远 《把酒问月·故人贾淳令予问之》 240cm×186cm

李乐施
【作品】《九势》、《妙境》
【创作感想】
我的毕业创作内容均选自蔡邕的九势,都是以魏碑为基准。其中一件选取了九势最后一句话“翰墨功多,即造妙境”,意思是必须笔墨功夫深厚,就可进入妙境了。深知仍有许多不足之处,以后还要更虚心改进学习。感谢毕业创作中靳继君老师、汪兰婷老师的精心指导!

李乐施 《九势》 97cm×180cm

李乐施 《妙境》 248cm x 129cm

刘德昭
【作品】《历代书法论文选》节选
【创作感想】
在此次毕业创作中,笔法以及章法上均借鉴赵之谦晚年的书风,创作过程中不断学习其独特的书风,不断的试错,最后以对联和手札的形式呈现,作品仍然有许多不足之处,我还会继续深造

刘德昭 《历代书法论文选》节选 15cm×28cm×8

梁彩婵
【作品】《少年中国说》节选、《山园小梅二首》
【创作感想】
本次毕业创作以大篆、王觉斯小行书为基调,借鉴金文结体的灵动优美与传统文人雅士小幅面的“案头书法”特点,以探寻作品在章法上更加随意活泼,充满了生命力。日复一日的尝试及创作,方使作品之神采得以呈现。在此感谢汪兰婷老师,李庙华老师,在毕业创作中给予我们精心指导!

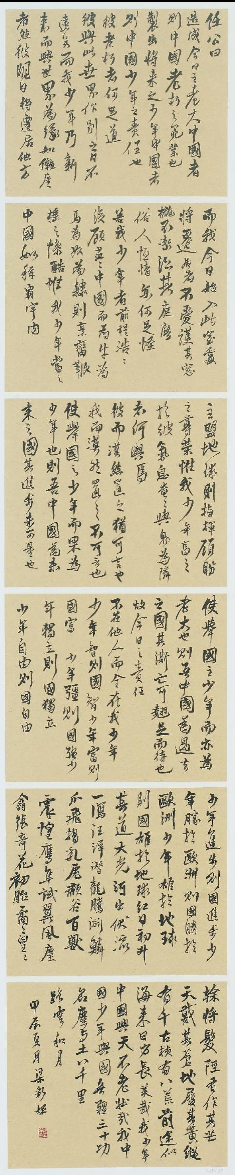
梁彩婵 《少年中国说》节选 45cm×33.3cm×6

梁彩婵 《山园小梅二首》 140cm×26.5cm×4

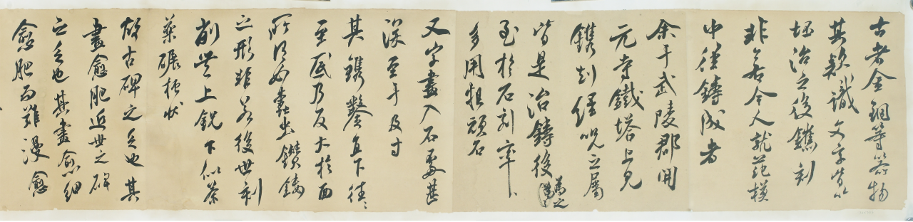
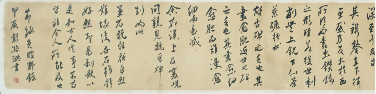
彭潞潞
【作品】《王维秋林晚岫图》、《负暄野录》
【创作感想】
在学习吴昌硕先生的石鼓文中我领会到用笔的妙趣,下笔自当沉着肯定,行笔稳健不慌张,用笔有瑕疵也不可怕,收笔快捷干净不拖泥带水。对于金石味的理解不够深刻,还需继续坚持,参考学习金文来结合改进书写创作或许更佳!道阻且长,行而将至。

彭潞潞 《王维秋林晚岫图》 260cm×97cm


彭潞潞 《负暄野录》节选 260cm×38cm

沈业佳
【作品】黄庭坚《论书》节选、丰坊《书诀》节选
【创作感想】
日拱一卒无有进,功不唐捐终入海。这句话伴随着我整个大学四年,我相信无论生活上还是创作上都要努力进步,不要轻易停下脚步,这个过程就是最棒的。这毕业创作这段时间,我意识到自己的不足,让我明白艺术之路漫漫,不要急于求成;艺术没有对错,与其为他人的否定而焦虑,不如学会接受自己,学习黄庭坚对于书法创作的那种自信和深刻的人生态度,将其放在自己的作品上。


沈业佳 黄庭坚《论书》节选 248cm×24cm×4

沈业佳 丰坊《书诀》节选 248cm×125 cm

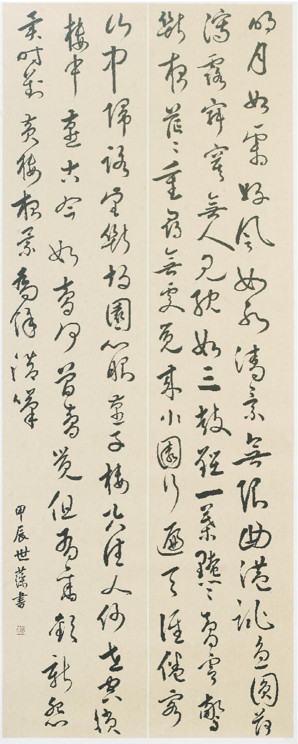
叶世藻
【名称】《文赋》、《永遇乐·彭城夜宿燕子楼》、《史记.夏本纪》节选
【创作感想】
我的毕业创作选择以文征明小楷和行草为主进行书写创作,文征明的小楷犹如一颗璀璨的明珠,吸引着我不断探索和追寻。文征明小楷的创作之旅,是一场自我修行,是对耐心与毅力的考验。在不断临摹和创作的过程中,我也深刻体会到了坚持和耐心的重要性。一件作品的呈现,都需要反复琢磨和练习。有时候,为了达到理想的效果,练了一遍又一遍。但正是这种坚持不懈的努力,让我在细微之处不断进步。还有老师们辛苦的指导,在此感谢我的指导老师们。

叶世藻 《文赋》 13.5cm×26.5cm×21

叶世藻 《永遇乐·彭城夜宿燕子楼》 246cm×50cm×2

叶世藻 《史记.夏本纪》节选 131cm×65cm

朱俊欣
【作品】《画禅室随笔》节选一、《画禅室随笔》节选二
【创作感想】
本次毕业创作,主要以《张迁碑》和《鲜于璜碑》为根基,进行隶书全方位的临摹和创作及以黄庭坚草书为基调进行草书创作。在创作过程中,倍感艰辛,基于多届国展优秀书法作品,发现当代隶书创作多以展览为主,掺杂汉篆的笔法,而纯用汉隶进行创作存在少数,并且存在一定的难度,既要体现隶书的古茂雄沉,又要富有金石气,增强气势,可谓难上加难。在老师的指导下,我对此件作品加以调整,融合了展厅的色彩搭配,适度做旧,并且在笔法上适当加入了汉简的用笔,从而让整幅作品看起来更加协调,但在一些笔画的处理上做的还是不够,用笔不够自然随和,处理方式过于单一,日后,我也会针对这方面的问题加强训练,争取更进一步。在草书创作的过程中,前期尝试过多种表现形式,最后敲定了以四张长100厘米,宽50厘米呈现。创作途中曾多次想过放弃,但心有不甘,而选择了继续努力,加把劲。我深知对于这个阶段的我们而言,运用草书进行创作十分不易,在技法的表现和情感的流露仅仅停留在表面,但我依然想去尝试把不可能变成可能,今后我也会不断加强训练,多临多看多创,更上一层。最后衷心感谢各位老师对我的层层教导!


朱俊欣 《画禅室随笔》节选一 80cm×234cmx2

朱俊欣 《画禅室随笔》节选二 100cm×50cmx4
内容由书法学专业提供
责编 | 张艺冰
审校 | 辜雅姿
初审 | 李庙华
复审 | 靳继君
终审 | 李海峰